Anbieter zum Thema
Die Experimente an der Produktionspresse wurden mit einem Tiefziehwerkzeug, drei Schneid- beziehungsweise Kalibrierwerkzeugen sowie einem vierstufigen Transferwerkzeug durchgeführt. In der Versuchspresse kamen ein Tiefziehwerkzeug zur Herstellung einer bis zu 100 mm tiefen Rechteckwanne und ein Schneidwerkzeug für kreisrunde Schnitte zum Einsatz (Bild 2). Der Umformweg und die Umformarbeit WU sind beim Tiefziehen um ein Vielfaches größer als beim Schneiden. Als Blechmaterial diente jeweils der Dualphasenstahl HCT500X (1.0939) mit 1 mm Dicke.
Bei Umwandlung und Transport von Nutzenergie entstehen Verluste
Um die Energieeffizienz einer Presse systematisch untersuchen zu können, sind geeignete Systemgrenzen maschinenspezifisch zu definieren. Bild 3 zeigt dies beispielhaft für die Versuchsmaschine: Motor-Pumpe-Einheiten, die den generatorischen Teil der Antriebe repräsentieren, wandeln elektrische in hydraulische Energie um. Ventile, Rohre und Blöcke übernehmen den Weitertransport und die Steuerung. Sie bilden den konduktiven Teil. Zylinder sind für die Umwandlung in mechanische Arbeit zuständig.
Sie stellen den aktorischen Teil dar. Mechanische Komponenten übertragen die Arbeit schließlich in das Werkzeug. Alle genannten Vorgänge zur Umwandlung und zum Transport von Nutzenergie sind mit Verlusten behaftet, die sich in der Entstehung von Wärme äußern. Diese Verluste können in der Maschine nicht mehr genutzt werden. Sie sind damit für die Antriebsaufgabe verloren. Die Leistung ist das mathematische Produkt von Potenzial- und Flussvariable. Eine direkte Messung von elektrischer, hydraulischer oder mechanischer Leistung ist nicht möglich.
Umform- und Zylinderkräfte werden gemessen oder berechnet
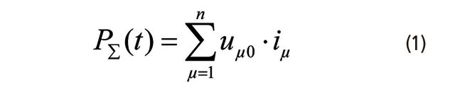
Die Berechnung der elektrischen Leistungs in Systemen mit n Leitern erfolgt nach [2], indem der Augenblickswert der kollektiven Leistung PΣ(t) unter Kenntnis der Leiterstromstärken iµ und der virtuellen Sternspannungen uµ0 berechnet wird:
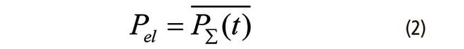
Die elektrische Wirkleistung Pel ist als arithmetischer Mittelwert definiert:
Die hydraulische Leistung Phyd ist das Produkt aus Druck p und Volumenstrom Q:
Die mechanische Leistung Pmech lässt sich aus Geschwindigkeit v und Kraft F berechnen:
Die Geschwindigkeit ist die Ableitung der gemessenen Position z. Während sich die Umformkraft in einem entsprechend ausgerüsteten Werkzeug über Kraftsensoren direkt messen lässt, werden die Kräfte an Hydraulikzylindern anhand der Kammerdrücke und der Kolbenflächen berechnet.
Die Energie E beziehungsweise die mechanische Arbeit W erhält man durch Integration der Leistung P über der Zeit t:
Der Energienutzungsgrad ε, der die Energieeffizienz eines Antriebssystems beschreibt, ist der Quotient aus abgegebener Nutzenergie Eab und Energieaufnahme Ezu während eines vollständigen Presszyklus:
Konduktive Subsysteme der Hydraulik sind Hauptverursacher für Verluste
Bild 4 veranschaulicht die Umwandlung der Elektroenergie in Umformarbeit WU und Wärme Q für die Produktionsmaschine. Im Automatikbetrieb mit vier verschiedenen Werkzeugen sind die konduktiven Subsysteme der Hydraulikkreisläufe verlustbestimmend. Die Stößelhydraulik verursacht hierbei den größten Einzelverlust. Das Ziehkissen mit seiner stark verlustbehafteten Ventilsteuerung ist nur bei Werkzeug 1 aktiv und verursacht dort etwa 7 % der Verluste. Im Leerlauf dominieren die Verluste der Stößelpumpe.
Die auftretenden Umformkräfte betragen bei den betrachteten praxistypischen Werkzeugen nur 10 bis 43 % der Stößelnennkraft. Außerdem sind die Umformwege im Verhältnis zur Werkzeugbewegung klein. Beides führt zu einer signifikanten Minderung der Energieeffizienz der Pressenantriebe.
(ID:35174810)





