Generatorforschung

Generator mit Radialkraftregelung optimiert Luftfahrttechnik

< zurück

Seite: 2/3

Anbieter zum Thema

Die Lagerreibung im Untersuchungsfokus

In den nächsten Abbildung in Teilbild a.) ist ein modularer Lagerprüfstand mit Reibmomentenmessung gezeigt. Durch das modulare Prüfstandskonzept können, mit einfachen Anpassungen der Welle und der Umbauteile, verschiedene Lagertypen und -baugrößen untersucht werden, wie zum Beispiel die in dem Generator verwendeten Spindel- und Zylinderrollenlager, die im Prüfstandsquerschnitt in den Teilbildern b.) und c.) dargestellt sind [FALK19].

Einzellagerprüfstand zur Reibmomentmessung mit unterschiedlichen Lagerkonfigurationen. (Bild:  WZL der RWTH Aachen)
Einzellagerprüfstand zur Reibmomentmessung mit unterschiedlichen Lagerkonfigurationen.
(Bild: WZL der RWTH Aachen)

Über die Radiallasteinheit werden vergleichbare Kontaktpressungen zu den im Generator Prüfstand betriebenen Lagern mit und ohne Radialkraftregelung eingestellt. Das Prinzip zur Reibmomentenmessung orientiert sich an dem Vorgehen nach [ROSS13]. Der Außenring des Versuchslagers ist durch eine hydrostatische Lagerung um seine Rotationsachse beweglich. Am Innenring des hydrostatischen Lagers ist ein Biegebalken mit Dehnungsmessstreifen zur Kraftmessung angebracht, der im Betrieb mit dem Anschlag am Gehäuse in Kontakt kommt. Die gemessene Kraft entspricht unter Vernachlässigung der Fluidreibung der hydrostatischen Lagerung der Reibkraft im Lager. Durch Nachstellung der Belastungszustände der Lager im Generator während des Betriebs können die Leistugsverluste im Lager bestimmt werden und so die Qualität der Regelung bewertet werden.

Ein Rechenbeispiel zum Effekt der Lagerentlastung

Zur Veranschaulichung des Effekts der Lagerentlastung durch die Radialkraftregelung wurde beispielhaft mit dem MATLAB-basierten Berechnungsprogramms MTPlus das Welle Lager System des Generators simuliert [BREC19]. Das Simulationsmodell des Generators ist in der folgenden Abbildung unter a.) dargestellt.

Bestimmung der Kompensationskraft für minimierte Lagerlasten.(Bild:  WZL der RWTH Aachen)
Bestimmung der Kompensationskraft für minimierte Lagerlasten.
(Bild: WZL der RWTH Aachen)

Das Zylinderrollenlager ist radial vorgespannt, das Spindellagerpaket ist in einem O-Paket axial vorgespannt. Die durch die Radiallasteinheiten eingeleiteten Kräfte sind so eingestellt, dass die radialen Lagerkräfte des Zylinderrollenlagers und des Spindellagerpaketes gleich groß sind. Das Belastungsverhältnis zwischen linker und rechter Radiallasteinheit zur gleichmäßigen radialen Belastung der Generatorlagerung ist in der Gleichung (1) unten gegeben.

(Bild:  VCG)
(Bild: VCG)

(1)

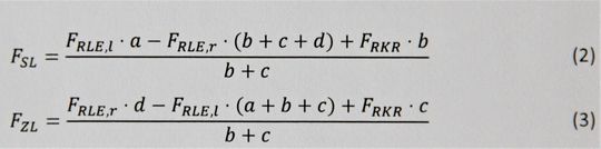
Der Zusammenhang zwischen der aufzubringenden Kompensationskraft (RKR) und den Störkräften der Radiallasteinheit ergibt sich aus dem Kräfte- und Momentengleichgewicht. Die radialen Lagerkräfte für das Zylinderrollenlager FZL und das Spindellagerpaket FSL ergeben in den Gleichungen (2) und (3) und müssen betragsmäßig minimiert werden.

(Bild:  VCG)
(Bild: VCG)

Für eine zunehmende radiale Kraft der linken Lasteinheit ist im oberen Schaubild unter b.) betragsmäßig die Lagerkraft für das Spindellagerpaket für variierende Kompensationskräfte der Radialkraftregelung dargestellt. Anhand der Minima kann der lineare Zusammenhang zwischen der Kompensationskraft zur Kraft der Radiallasteinheit bestimmt werden, was in Teilabbildung c.) veranschaulicht ist. Der Zusammenhang wird für die folgenden Rechnungen zur Bestimmung der Kompensationskraft der Radialkraftregelung zugrunde gelegt.

Im nächsten Bild sind Rechnungen mit und ohne Radialkraftregelung für variierende Radiallast und Drehzahl dargestellt. In Teilbild a.) wurde die maximalen Kontaktpressung am Innenring aller Lager für eine steigende Kraft je Radiallasteinheit bis 1000 N berechnet. Ohne Radialkraftregelung wird die Dauerfestigkeitsgrenze für Kugellager von 2000 MPa für das innenliegende Spindellager ab einer Radiallast von 820 N überschritten [BRÄN15]. Mit Radialkraftregelung hingegen bleibt die maximale Pressung des innenliegenden Spindellagers noch bei 1000 N je Lasteinheit unterhalb der kritischen Grenze von 2000 MPa. Der Einfluss der Regelung auf das radial vorgespannte Zylinderrollenlager ist im Vergleich zu den Spindellagern, aufgrund der größeren Kontaktfläche des Linienkontakts und der damit verbundenen höheren Steifigkeit, gering. Durch die Radialkraftregelung des Generators kann die Belastung der Lager signifikant gesenkt werden.

Entlastung der Lager durch die Radialkraftregelung.(Bild:  WZL der RWTH Aachen)
Entlastung der Lager durch die Radialkraftregelung.
(Bild: WZL der RWTH Aachen)

Im Falle steigender Drehzahlen können auch die Reibungsverluste in den Lagern gesenkt werden. In Teilbild b.) ist das summierte maximale Lagerreibmoment nach Steinert über einer steigenden Drehzahl bis 30.000 min-1 für die beiden Spindellager dargestellt [STEI96]. Es werden dabei die Reibanteile für die irreversible Verformungsarbeit MAΣ und für die Roll- MBΣ und Bohrreibung MCΣ zwischen den Lagerringen und Kugel berücksichtigt. Die Reibung wird für eine Minimalmengenschmierung wie folgt in Gleichung (4) berechnet:

(Bild:  VCG)
(Bild: VCG)

(ID:46988604)

Jetzt Newsletter abonnieren

Verpassen Sie nicht unsere besten Inhalte

Mit Klick auf „Newsletter abonnieren“ erkläre ich mich mit der Verarbeitung und Nutzung meiner Daten gemäß Einwilligungserklärung (bitte aufklappen für Details) einverstanden und akzeptiere die Nutzungsbedingungen. Weitere Informationen finde ich in unserer Datenschutzerklärung. Die Einwilligungserklärung bezieht sich u. a. auf die Zusendung von redaktionellen Newslettern per E-Mail und auf den Datenabgleich zu Marketingzwecken mit ausgewählten Werbepartnern (z. B. LinkedIn, Google, Meta).

Aufklappen für Details zu Ihrer Einwilligung